Embed presentation
Download to read offline

























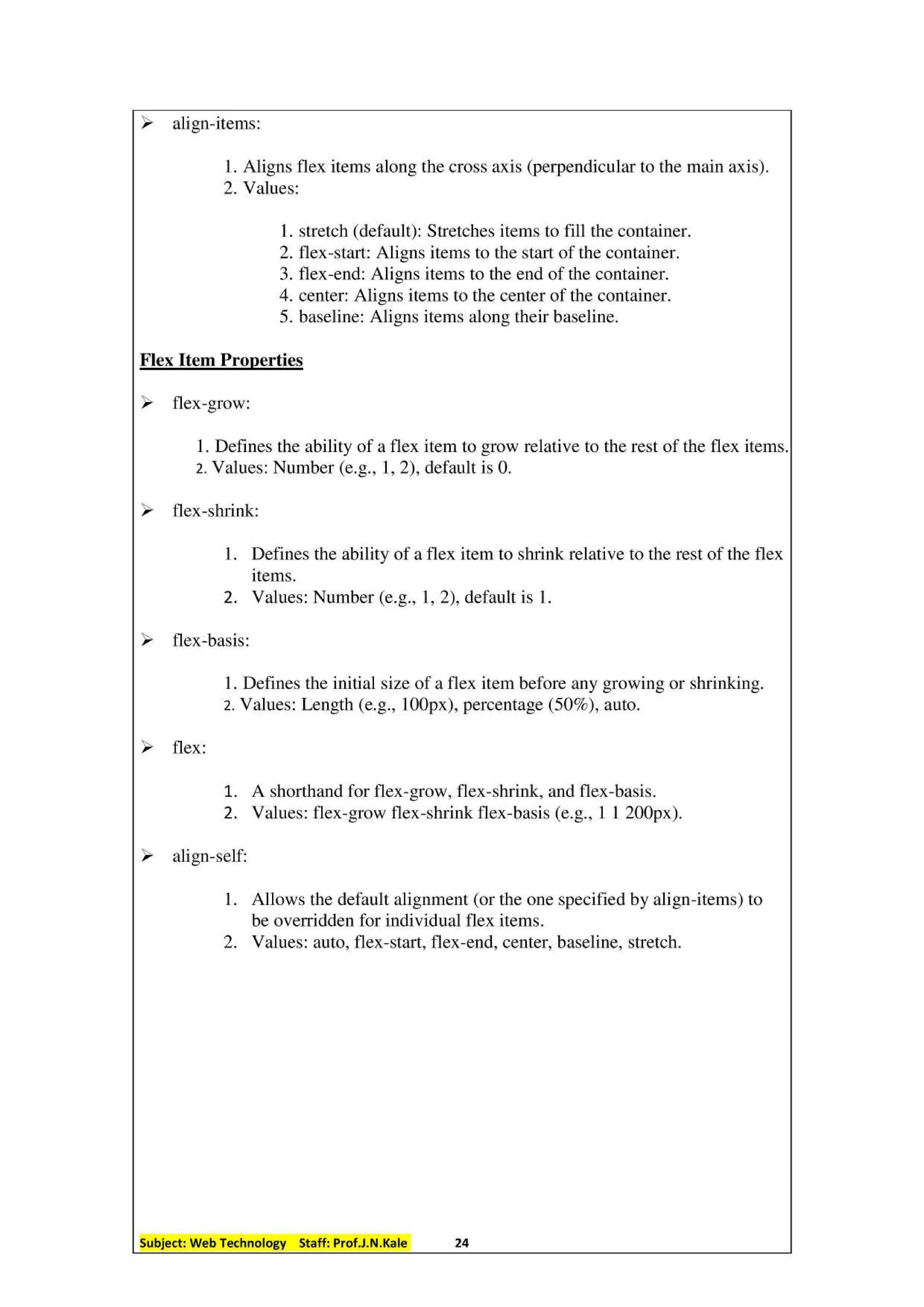
Cascading Style Sheets (CSS) – Complete Notes This PDF provides a comprehensive introduction to CSS, the language used to style and enhance web pages. It explains how CSS works with HTML to create visually appealing, responsive, and well-structured websites. The notes cover CSS syntax, selectors, properties, values, colors, backgrounds, borders, margins, padding, fonts, layouts, and positioning techniques. It also introduces advanced topics like the CSS box model, pseudo-classes, pseudo-elements, flexbox, grid, and media queries for responsive design. Perfect for BCA, B.Sc. (IT/CS), MCA, and Computer Engineering students, as well as beginners in web design and front-end development. Contents: Introduction to CSS and its types Inline, Internal, and External Style Sheets CSS Syntax, Selectors, and Properties Text, Font, and Color Styling Box Model: Margin, Border, Padding, Content CSS Layout: Flexbox and Grid Positioning, Display, and Float Responsive Design with Media Queries
























