Signatures of early frailty in the gut microbiota
- PMID: 26822992
 - PMCID: PMC4731918
 - DOI: 10.1186/s13073-016-0262-7
 
Signatures of early frailty in the gut microbiota
Erratum in
- 
  
  Erratum to: signatures of early frailty in the gut microbiota.Genome Med. 2016 Feb 17;8(1):21. doi: 10.1186/s13073-016-0275-2. Genome Med. 2016. PMID: 26888550 Free PMC article. No abstract available.
 
Abstract
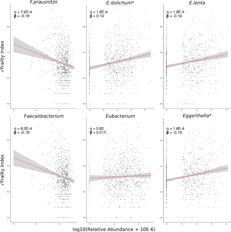
Background: Frailty is arguably the biggest problem associated with population ageing, and associates with gut microbiome composition in elderly and care-dependent individuals. Here we characterize frailty associations with the gut microbiota in a younger community dwelling population, to identify targets for intervention to encourage healthy ageing.
Method: We analysed 16S rRNA gene sequence data derived from faecal samples obtained from 728 female twins. Frailty was quantified using a frailty index (FI). Mixed effects models were used to identify associations with diversity, operational taxonomic units (OTUs) and taxa. OTU associations were replicated in the Eldermet cohort. Phenotypes were correlated with modules of OTUs collapsed by co-occurrence.
Results: Frailty negatively associated with alpha diversity of the gut microbiota. Models considering a number of covariates identified 637 OTUs associated with FI. Twenty-two OTU associations were significant independent of alpha diversity. Species more abundant with frailty included Eubacterium dolichum and Eggerthella lenta. A Faecalibacterium prausnitzii OTU was less abundant in frailer individuals, and retained significance in discordant twin analysis. Sixty OTU associations were replicated in the Eldermet cohort. OTU co-occurrence modules had mutually exclusive associations between frailty and alpha diversity.
Conclusions: There was a striking negative association between frailty and gut microbiota diversity, underpinned by specific taxonomic associations. Whether these relationships are causal or consequential is unknown. Nevertheless, they represent targets for diagnostic surveillance, or for intervention studies to improve vitality in ageing.
Figures
              
              
              
              
                
                
                
              
              
              
              
                
                
                
              
              
              
              
                
                
                References
- 
    
- United Nations, Department of Economic and Social Affairs, Population Division (2013). World Population Ageing 2013. ST/ESA/SER.A/348.
 
 
Publication types
MeSH terms
Substances
Grants and funding
LinkOut - more resources
Full Text Sources
Other Literature Sources
Medical
