About ISL rating system
In team sport, the most common point metric is the “score”. More than the achievement itself, the score is the sign of recognition for the athletes that determines the winners and losers.
And yet, we all know, we all feel, that performance is not just an accounting logic, that sport cannot be reduced to series of numbers or an end-of-season ranking, otherwise the magic, the emotion it provides is to fade away.
So, what can be done?
I strongly believe that mathematics is a strong pillar in sport. Formulas and calculations translate performance that is, most of the time, impossible to guess. It is through key figures based on standardized characteristics that each sport has been able to educate the public about performance.
But, then again, mathematics cannot be the only gateway to understand the essence of sporting achievement.
Just as we have two distinct spheres in our brains, one that analyses and breaks down problems, the other one that looks at the big picture and innovates, so in sport we have two components to take into account: physical fitness, but also emotion and psychology.
An athlete can be in the best physical condition in the world, if he or she does not have the ability to control his or her emotions, he or she will miss out on the real performance.
For this reason, one of ISL’s latest innovations is the implementation of this aspect in a unique athlete scoring system, specially designed for the purpose.
Until now, no sport discipline has offered a detailed and competitive scoring system that combines fairness and dynamism with the ability to create a narrative for the public.
By incorporating penalties, allowing changes when the competition has already begun, and by creating a structure where the winning team has the opportunity to take points from the losing team, ISL adds a psychological framework to the mathematical ranking.
In doing so, it also introduces strategy into the game, taking into account all the entries and exits of the competition. This original scoring mode puts the competition back on a game level by multiplying the unpredictable events, causing a great deal of twists and turns and consequently suspense.
Most of the time, before a traditional swimming competition, you have the impression of having eight athletes on the starting line who you vaguely remember having seen at previous events. However, you are unable to objectively assess their present condition and determine who has the best chance of winning that particular race.
But the ISL scoring system provides this information to the public, creating an extra dimension of anticipation and suspense for the public: “Is my prediction correct?».
The system we have put in place meets a few criteria:
– Time is no longer the main factor. Rather than “how fast did the swimmer swim”, which focuses the spectators’ attention more on the chronograph than on the athlete, the logic applied here is “who beats who”. The points thus determine the actual degree of performance;
– Every athlete has separate ratings, which consist of individual event ratings, relay event ratings and skins race rating. Aggregated rating is the sum of all ratings of an athlete and reflects the athlete’s value in the League. If one’s rating is higher than the initial rating, it means that he or she has more value than an average athlete, and vice versa;
– The whole system developed here has a fixed number of points, meaning that when one athlete/team wins a race, another athlete/team loses points. This zero-sum approach brings uncertainty to the game, with one athlete’s results affecting the results of another;
– The total value of points in the rating system only increases or decreases if a swimmer joins or leaves ISL;
– Every new athlete joining ISL is awarded the same average number of points. The initial rating (rating of an athlete that is new to the League) for all individual heats is assumed to be 1000, 500 in relay races, and 2300 for skins races;
– It is very important for athletes that did not participate in the discussed heat that the rating should still be reduced. The math expectation should reflect the number of points that each athlete can potentially score in the next match in the event at hand, regardless of whether he will participate in it or not. Naturally, if an athlete does not take part in the discussed event, his/her rating in this event should approach 0. Over time, the math expectation of him/her scoring points at the next match in the event at hand also approaches 0, due to the fact that the athlete simply will most likely not participate in the discussed event;
– When a new athlete starts competing in the League, it is considered that he/she took part in “N” virtual matches before his debut. In this case, she/he earned his/her initial rating in every event in those virtual matches. “N”- The number of matches over which the average is carried out to obtain the athlete’s rating;
– For the calculation of ratings for the clubs that did not make it to the playoffs or finals, it is considered that they have participated in the virtual playoffs and finals. The rating received by the athletes in these virtual matches is equal to their initial ratings in the League. The introduction of virtual playoffs and finals was done in order to ensure that the athlete’s rating is calculated over an equal number of matches after the end of the season, as well as to give a rating advantage to those athletes who made it to the playoffs.
Formulas Glossary:
Note: For each formula from here, the alpha (α) is a chosen value (equal to 0.3)

– instant rating of athlete “A” after event “i”.

– the sum of the average ratings (averaged over the latest 10 matches) of all of the athletes participating in the event “i”.

– points that athlete “A” scored during the event at hand.

– average rating (averaged over the latest 10 matches) of athlete “A” before event “I”.

– total rating of the team of athlete “A” (a sum of all of the average ratings in the team).

* for each participating athlete
** for each nonparticipating eligible athlete
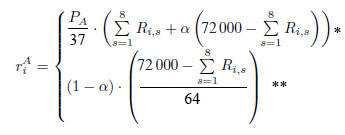
Different formulas apply to the rating system according to the type of races: individuals, relays or Skins: a race format that is eliminatory and whose physical performance is spectacular;
Formula #1: Individual

* for each participating athlete
** for each nonparticipating eligible athlete
Formula #2: Relay single gendered

* for each participating athlete
** for each nonparticipating eligible athlete
Formula #3: Relay mixed

* for each participating athlete
** for each nonparticipating eligible athlete
Formula #4: Skins event

* for each participating athlete
** for each nonparticipating eligible athlete
Finally, the more difficult a race is, the more points the winner will score. In other words, if a heat (group of swimmers who swim a race at the same time) is composed of highly rated swimmers, the winner will score more points than a heat with lower-rated ones. This meets the standard and values of ISL that favors star-powered sprinters.
The whole system brings swimming into a new era and makes it a new sport. Time is no longer the only performance factor. By encouraging unpredictability and real competition among athletes, ISL gives new impetus to the future of the sport by reconciling gamification and performance.
The key point of what looks like a genuine revolution is that everything has been designed, built and implemented to provide the best immersive experience for spectators and viewers. In this way, ISL takes swimming competition far beyond a sporting event to extend it into the realm of entertainment and strategic gaming to finally re-enchant the sport.
By Konstantin Grigorishin, Founder and President – International Swimming League