高山莫衣
码龄7年
求更新 关注
提问 私信
  • 博客:911,966
    社区:1,659
    问答:709
    动态:57,622
    971,956
    总访问量
  • 568
    原创
  • 7,691
    排名
  • 29,710
    粉丝
  • 360
    关注
IP属地以运营商信息为准,境内显示到省(区、市),境外显示到国家(地区)
IP 属地:云南省
加入CSDN时间: 2019-04-17

个人简介:律己如高山般崇高品德,无需华丽衣服装饰。

博客简介:

Python领域优质萌新学习笔记

博客描述:
技术小白的自我修养
查看详细资料
个人成就
  • 优质创作者: 人工智能技术领域
  • 获得5,157次点赞
  • 内容获得578次评论
  • 获得6,423次收藏
  • 代码片获得25,816次分享
  • 原力等级
    原力等级
    8
    原力分
    5,872
    本月获得
    43
创作历程
  • 149篇
    2025年
  • 113篇
    2024年
  • 257篇
    2023年
  • 17篇
    2022年
  • 5篇
    2021年
  • 14篇
    2020年
  • 14篇
    2019年
成就勋章
TA的专栏
  • Latex 学习 and 模板分享
    付费
    9篇
  • 联邦学习
    6篇
  • jax
    8篇
  • 理论
    132篇
  • git
    12篇
  • 差分隐私小九九
    40篇
  • 天文基础知识
    7篇
  • 差分翻译转载
    17篇
  • 答案
    4篇
  • bibibi
    1篇
  • MySQL
    21篇
  • nlp
    1篇
  • java学习
    31篇
  • SAS学习
    1篇
  • Linux
    14篇
  • GBase 8a
    6篇
  • pytorch
    66篇
  • PHP
    7篇
  • 小工具开发
    5篇
  • OriginLab科研绘图
    1篇
  • 知识图谱系列
    5篇
  • neo4j
    2篇
  • 机器学习and深度学习
    19篇
  • 初学笔记
    27篇
  • 案例报告
    8篇
  • html
    15篇
  • python爬虫
    6篇
  • python算法
    6篇
  • python_算法学习
    38篇
  • Python_问题解决办法
    42篇

TA关注的专栏 23

TA关注的收藏夹 0

TA关注的社区 51

TA参与的活动 14

TA的推广
兴趣领域 设置
  • 人工智能
    人工智能数据分析
创作活动更多

AI 镜像开发实战征文活动

随着人工智能技术的飞速发展,AI 镜像开发逐渐成为技术领域的热点之一。Stable Diffusion 3.5 FP8 作为强大的文生图模型,为开发者提供了更高效的图像生成解决方案。为了推动 AI 镜像开发技术的交流与创新,我们特此发起本次征文活动,诚邀广大开发者分享在 Stable Diffusion 3.5 FP8 文生图方向的实战经验和创新应用 本次征文活动鼓励开发者围绕 Stable Diffusion 3.5 FP8 文生图方向,分享以下方面的内容: 1. 技术实践与优化 - Stable Diffusion 3.5 FP8 模型架构解析与优化技巧 - 文生图生成效果的提升方法与技巧 - 模型部署与加速策略,例如使用 Hugging Face、Diffusers 等工具 - 针对特定场景(例如二次元、写实风)的模型微调与定制化开发 2. 应用场景探索 - Stable Diffusion 3.5 FP8 在不同领域的应用案例分享,例如游戏设计、广告创意、艺术创作等 - 利用 Stable Diffusion 3.5 FP8 实现图像编辑、图像修复、图像增强等功能的探索 - 结合其他 AI 技术(例如 NLP、语音识别)构建更强大的应用 3. 创新应用与思考 - 基于 Stable Diffusion 3.5 FP8 的创新应用场景设计 - AI 镜像开发的未来发展方向的思考与展望 - 对 AI 镜像开发伦理、安全等问题的探讨

28人参与 去参加
  • 最近
  • 文章
  • 专栏
  • 代码仓
  • 资源
  • 收藏
  • 关注/订阅/互动
更多
  • 最近

  • 文章

  • 专栏

  • 代码仓

  • 资源

  • 收藏

  • 关注/订阅/互动

  • 社区

  • 帖子

  • 问答

  • 课程

  • 视频

搜索 取消

联邦学习算法介绍-FedAvg详细案例-Python代码获取

在DP-FedSGD中,被选中的参与方使用全局模型参数对局部模型进行初始化,通过批梯度下降法进行多轮梯度下降,计算梯度更新量。而在DP-FedAVG中,是利用一个批次的数据进行一次梯度下降,计算梯度更新量。由服务端收集各客户端的梯度信息,通过聚合计算后再分发给各客户端,从而实现多个客户端联合训练模型,且“原始数据不出岛”,从而保护了客户端数据隐私。假设中心方是好奇的,那么客户端通过某种规则向其他客户端广播梯度信息,收到梯度信息的客户端聚合参数并训练,将新的梯度信息广播。面向神经网络模型, 假设网络总共有。
原创
博文更新于 2025.10.14 ·
27680 阅读 ·
73 点赞 ·
200 评论 ·
412 收藏

windows安装jax和jaxlib的教程

当你直接或者出现该问题的原因是没有安装jaxlib,并且只支持python3.9以上版本,且需要手动安装(直接用会报错)
原创
博文更新于 2025.10.10 ·
3812 阅读 ·
22 点赞 ·
13 评论 ·
18 收藏

【概念初识】什么是因果推断?

摘要:本文深入探讨了相关分析与因果推断的核心差异。相关分析(如相关系数)仅描述变量间的统计关联,而因果推断(如随机对照试验)旨在确定变量间的因果关系。通过经典案例(冰淇淋销量与溺水人数的虚假相关)揭示混淆变量的影响,并对比了两种方法的适用范围与局限性。文章强调“相关性不等于因果性”,并介绍因果推断的关键方法(如工具变量、断点回归等),指出回归分析可作为工具但需满足严格假设才能用于因果推断。最后以教育回报、药物试验等案例,说明如何在统计实践中实现从相关到因果的跨越。全文系统阐述了因果推断的理论框架与实践路径,
原创
博文更新于 2025.10.10 ·
869 阅读 ·
23 点赞 ·
0 评论 ·
19 收藏

WPS关闭不了后台一直运行的解决办法(wpscloudsvr.exe)

如果你不需要使用会员服务,那么上面的操作完全没有问题,如果你是会员,觉得有很大影响,啊哈哈哈哈哈哈,再去桌面文件夹里面,把。1、再次打开wps,机箱风扇正常,任务管理器后台CPU占用资源很低很低,上述方法解决了问题。1、如果你打开了wps软件,就先关闭wps界面,再在设备管理器中找到wps的进程,选中“资源,难道是我错误的关闭方式,显然不是,或许是开了wps会员原因造成的。文件,直接删除这个文件,一般是删不掉这个文件的,那么可以先将。就行,替换成功后,就可以重启wps,开始使用了。
原创
博文更新于 2025.10.09 ·
55992 阅读 ·
44 点赞 ·
16 评论 ·
43 收藏

论文《Inference for Iterated GMM Under Misspecification》的例子3

例子3展示了在非线性矩条件下,迭代GMM的收敛性依赖于误设程度。只有当方差误设较小(σ223σ22/3) 时,迭代才保证收敛。否则,可能需要使用稳健推断方法。
原创
博文更新于 2025.09.26 ·
910 阅读 ·
25 点赞 ·
0 评论 ·
12 收藏

论文《Inference for Iterated GMM Under Misspecification》的例子2

在论文《Inference for Iterated GMM Under Misspecification》的例子2中,作者通过一个线性工具变量(IV)模型展示了在模型误设(misspecification)下迭代GMM估计量的行为。该例子旨在说明,即使工具变量无效(违反排除限制),迭代GMM估计量仍能通过收缩映射收敛到一个伪真实参数(pseudo-true parameter),且该固定点对误设程度不敏感。
原创
博文更新于 2025.09.26 ·
729 阅读 ·
21 点赞 ·
0 评论 ·
7 收藏

《Inference for Iterated GMM Under Misspecification》的例子1

在论文《Inference for Iterated GMM Under Misspecification》的例子1中,位置模型用于演示在模型误设(misspecification)下迭代GMM估计量的行为。该例子考虑一个简单的位置模型,其中观测值 Xi=(Yi,Zi)X_i = (Y_i, Z_i)Xi​=(Yi​,Zi​) 是独立同分布的(i.i.d.)。矩函数定义为 m(Xi,θ)=(Yi−θ,Zi−θ)′m(X_i, \theta) = (Y_i - \theta, Z_i - \theta)'m(
原创
博文更新于 2025.09.26 ·
1089 阅读 ·
24 点赞 ·
0 评论 ·
18 收藏

广义矩估计错误指定时的一个推导【续7】

正文中的描述:定理3。设θ^T(2){\widehat{\theta }}_{T}\left( 2\right)θT​(2)为基于WT=V^T−1{W}_{T} = {\widehat{V}}_{T}^{-1}WT​=VT−1​和θ∗(2)=θ∗(V−1){\theta }_{ * }\left( 2\right) = {\theta }_{ * }\left( {V}^{-1}\right)θ∗​(2)=θ∗​(V−1)的第二步GMM{GMM}GMM估计量。同时假设假设1、3-7以及假设A.1-A.9成
原创
博文更新于 2025.09.22 ·
1065 阅读 ·
28 点赞 ·
0 评论 ·
26 收藏

长期方差(Long-run Variance)与异方差自相关一致(Heteroskedasticity and Autocorrelation Consistent, HACC)估计量

特征长期方差 (S)HACC估计量 (S\hat{S}S本质理论参数估计量角色目标(Target)工具(Tool)/ 方法(Method)可知性未知,但存在可以用样本数据计算出来性质一个固定的值一个随机变量(不同样本得到不同估计)核心要求无一致性S→pSS→pS一个完美的类比:长期方差SSS就像是总体均值μ\muμ。它是一个描述总体性质的理论概念。HACC估计量S\hat{S}S就像是样本均值Xˉ\bar{X}Xˉ。它是我们用来估计总体均值的工具。“一致”
原创
博文更新于 2025.09.22 ·
900 阅读 ·
16 点赞 ·
0 评论 ·
19 收藏

广义矩估计错误指定时的一个推导【续6】

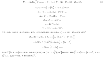
附录作者证明思路定理2的证明。同样,设cT​T1/2H1T​H2T​2H2T​3→dN0Ω∗​A.9其中Ω∗​G∗′​WΩ11​WG∗​Ω22​G∗′​Ω33​G∗​G∗′​WΩ12​G∗′​WΩ13​G∗​Ω21​WG∗​G∗′​Ω31​WG∗​Ω23​G∗​G∗′​Ω32​。
原创
博文更新于 2025.09.22 ·
1187 阅读 ·
36 点赞 ·
0 评论 ·
22 收藏

广义矩估计错误指定时的一个推导【续5】

在证明定理1、2和3时,我们使用以下结果。在假设1,2,4−61,2,4 - 61,2,4−6 和假设A.1-A.6的基础上,依据标准论证(例如,Newey 和 McFadden(1994,第2.1定理)以及 Wooldridge(1994,第7.1定理))得出θ^T→pθ∗.(A.6){\widehat{\theta }}_{T}\overset{\mathrm{p}}{ \rightarrow }{\theta }_{ * }. \tag{A.6}θT​→pθ∗​.(A.6)其中 θ∗{\thet
原创
博文更新于 2025.09.22 ·
1040 阅读 ·
26 点赞 ·
0 评论 ·
17 收藏

广义矩估计错误指定时的一个推导【续4】

基准对照(情况 i):最简单的设定,用于建立直觉。标准第一步(情况 ii):分析过度识别模型的第一步估计。“最优”GMM的理论与实践(情况 iii & iv):这是论文的重中之重。它揭示了在误设下,理论上的最优权重(情况iii)和实践中使用的“最优”权重(情况iv)不再等价,并且会产生根本不同的结果。当你模型设定错误时,你从标准软件包中得到的那种“最优”GMM估计结果,其统计性质可能比你想象的要糟糕得多(例如,收敛速度更慢,分布可能退化)。
原创
博文更新于 2025.09.22 ·
930 阅读 ·
7 点赞 ·
0 评论 ·
24 收藏

广义矩估计错误指定时的一个推导【续3】

要理解这一点,我们需要看清公式 (9) 是如何得出的,以及矩阵H∗H_*H∗​在其中扮演的角色。
原创
博文更新于 2025.09.22 ·
680 阅读 ·
21 点赞 ·
0 评论 ·
28 收藏

广义矩估计错误指定时的一个推导【续2】

在GMM估计的渐近推导中,公式(9)是从公式(5)到(8)通过代入关键简化和代数操作得到的。
原创
博文更新于 2025.09.22 ·
960 阅读 ·
16 点赞 ·
0 评论 ·
23 收藏

广义矩估计错误指定时的一个推导【续1】

H2T1H2T​1H2T1cTGTθT−GTθ∗′WTμ∗H2T​1cT​GT​θT​−GT​θ∗​′WT​μ∗​cTc_TcT​是缩放因子(通常cTTcT​T​GTθ∂gTθ∂θ′GT​θ∂gT​θ∂θ′是样本矩函数的导数矩阵(维度q×pq \times pq×pWTW_TWT​是加权矩阵(维度q×。
原创
博文更新于 2025.09.22 ·
889 阅读 ·
17 点赞 ·
0 评论 ·
21 收藏

广义矩估计错误指定时的一个推导

是唯一的随机变量部分,因为它捕获了样本矩的随机波动,而其他项收敛到常数,因此在渐近分析中被视为非随机。这种处理是渐近理论的标准方法,允许我们推导估计量的渐近分布。这个推导是GMM渐近理论的基础,特别是在模型误设下,它揭示了估计量的收敛行为依赖于加权矩阵。在推导渐近分布时,我们通常将公式(4)右边的常数部分提取出来,只关注随机部分。被视为非随机(或渐近常数),是由于渐近理论中的关键性质和行为。在GMM估计的渐近推导中,公式(4)的右边之所以将。最后,为了得到公式(4),我们引入缩放因子。
原创
博文更新于 2025.09.22 ·
914 阅读 ·
29 点赞 ·
0 评论 ·
14 收藏

什么是 可测的(measurable)?

它是一个技术性、基础性的假设,确保我们使用的数学对象(期望、概率)是定义良好的。它不同于连续性。可测性是关于函数能否被积分,而连续性是关于函数值是否平滑变化。在实践中,几乎所有你在应用中会遇到的经济学和统计学函数都是可测的(例如,连续函数、分段连续函数、单调函数等都是可测的)。这个假设主要是为了在理论推导中排除那些极端怪异、现实中几乎不存在的数学反例,从而保证理论的严谨性。所以,大致理解为:“我们假设这些函数足够规则,以便我们可以安全地对其进行积分和概率运算,而不会遇到数学上的麻烦。
原创
博文更新于 2025.09.19 ·
644 阅读 ·
5 点赞 ·
0 评论 ·
20 收藏

什么是紧集(compact set)?

在有限维的欧几里得空间RpRp(这是我们处理参数向量θ\thetaθ一个集合是紧集,当且仅当它是 有界且封闭的。在计量经济学的语境中,当说“Θ\ThetaΘ参数空间Θ\ThetaΘ是明确设定的,而不是整个无穷的RpRp空间。这个设定好的空间是有界的(例如,所有参数的绝对值都小于某个很大的数BBB这个空间是封闭的(通常通过包含等号来实现,例如θ≤Bθ≤B而不是θB\theta < BθB这个假设是保证极值估计量具有良好大样本性质(如一致性)的。
原创
博文更新于 2025.09.19 ·
1013 阅读 ·
15 点赞 ·
0 评论 ·
9 收藏

SPSA为什么要求三阶可导

一阶可导保证了梯度。
原创
博文更新于 2025.08.29 ·
697 阅读 ·
22 点赞 ·
0 评论 ·
18 收藏

迁移框架下的期望分位数回归的纠偏

模块核心作用数学体现领域差异隔离分离源域迁移与目标域适应,避免分布差异污染δ\deltaδ仅优化目标域数据(公式 2.20)噪声偏差修正用目标域无噪数据抵消隐私噪声的影响损失函数展开中的线性项(公式 2.21)局部特征适应使参数更贴合目标域的条件分位数特性(如偏态尾部分布)ρτ\rho_\tauρτ​对残差的非对称加权稀疏性保持通过 Lasso 控制增量δ\deltaδ的复杂度,避免纠偏破坏特征选择λδ∣δ∣1λδ​∣δ∣1​纠偏本质是两阶段估计的贝叶斯思想。
原创
博文更新于 2025.08.18 ·
514 阅读 ·
6 点赞 ·
0 评论 ·
10 收藏
加载更多